「桐の会(ポロウニア・クラブ)」会報 街の散策:47 小流寺と小流寺縁起
■ 「桐の会(ポロウニア・クラブ) 会報 街の散策

[ 街の散策からの気付き発見 ]会報 February 1, 2026
47 小流寺と小流寺縁起
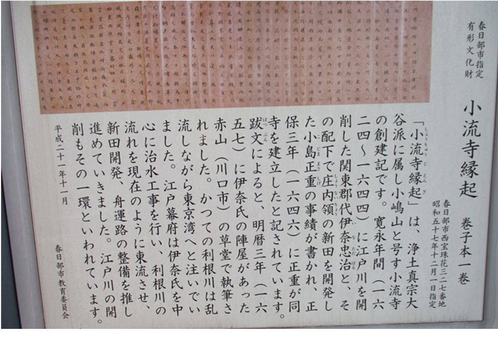
西宝珠花地区の小流寺(春日部市西宝珠花328)を訪ねた。現在の小流寺は西宝珠花にあるが、もともとは、近隣の吉妻村にあった。昭和27年(1952)江戸川改修で現在の地に移転した。寺に『小流寺縁起』が伝わっている。境内の説明看板によると、
「『小流寺縁起』は、浄土宗大谷派に属し小嶋山と号す小流寺の創建記です。寛永年間(1624~1644)に江戸川を開削した関東郡代伊奈忠治と、その配下で庄内領の新田を開発した小島正重の事績が書かれ、正保三年(1646)に正重が同寺を建立したと記されています。跋文によると、明暦三年(1657)に伊奈氏の陣屋があった赤山(川口市)の草堂で執筆されました。かっての利根川は乱流しながら東京湾へと注いでいました。江戸幕府は伊奈氏を中心に治水工事を行い、利根川の流れを現在のように東流させ、新田開発、舟運路の整備を推し進めていきました。江戸川の開削もその一環といわれています。 平成21年(2009)11月 春日部市教育委員会」
正重が生きた時代[生年不祥~寛文8年(1668)]は、徳川幕府(1603~1867)の基礎が固まっていく時代だ。米が経済の根幹で、新田開発と農村支配は重要な政策であった。伊奈一族は、関東の河川改修をし、新田開発と農村支配で重要な役割を果たしている。江戸川が開削される以前、武蔵国と下総国は、前利根川筋(現在の古利根川・古隅田川・元荒川)を境界としており、東は武蔵国太田庄、西は下総国河辺庄と呼ばれた荘園があった。下河辺庄は十二世紀頃には成立していたらしい。下総国葛飾郡の北部に位置し、利根川(現古利根川)左岸域の広大な低湿地(現春日部市・杉戸町・吉川市・三郷市)、その東側の下総台地(現千葉県野田市・松伏町)、北端は猿島台地(現茨城県古河市)が広がっていた、という。荘園の中央部には下総台地を流れる渡良瀬川水系の河川が流れていたと考えられている。粕壁宿の開設は元和2年(1616)、その後の江戸川開削と新田開発で、現春日部市の主要地域ができたようだ。
*↓PDF詳細は、こちらから見てください
この情報は、「キリノカイ」により登録されました。